SLA and ROI Widgets

Last updated: apr 10, 2025

Overview

Service level agreement (SLA) and return on investment (ROI) widgets provide actionable insights into event detection, resolution efficiency, and automation impact. These widgets aid users in evaluating time and cost savings, optimize workflows, and make data-driven decisions. This article explores SLA and ROI widgets, including their calculation formulas, and presents an appendix that clarifies the field names used across D3 vSOC.

SLA Widgets

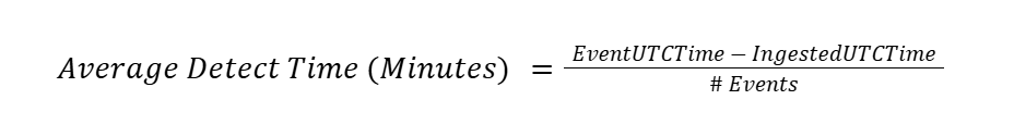
Average Detect Time

Tracks the average time to detect events, providing insights into the efficiency of event detection processes by measuring the time elapsed between an event's occurrence and its detection.

docs.google.com_document_d_1WMlf0IyJpU6mrzIsCeU8Yb3txDWqzr8GKpA7LWxX53A_edit_tab=t.0 1.png

Average Resolve Time

Highlights the efficiency of incident response workflows and identifies opportunities for process streamlining by tracking the average time taken to resolve an incident from creation to closure.

docs.google.com_document_d_1WMlf0IyJpU6mrzIsCeU8Yb3txDWqzr8GKpA7LWxX53A_edit_tab=t.0 (2) 1.png

Detect Time By Day

Helps identify daily patterns or anomalies by tracking how detection time for events varies across days, enabling targeted optimizations in detection processes.

docs.google.com_document_d_1WMlf0IyJpU6mrzIsCeU8Yb3txDWqzr8GKpA7LWxX53A_edit_tab=t.0 (2) 2 (1).png

Event Detect Time By Severity

Offers insights into the efficiency of detecting critical events compared to lower-severity ones, ensuring effective resource allocation, by displaying detection time based on event severity (i.e., Critical, High, Medium, Low).

Group 1.png

Mean Time to Detect By Incident Type

Helps highlight detection performance across various incident categories, helping identify areas for improvement, by measuring the average time to detect events associated with specific incident types.

Group 2.png

Mean Time to Resolve By Incident Type

Offers insights into which incident categories are resolved efficiently and which need improvements in response times by measuring the average time to resolve incidents of each type.

Group 3.png

Mean Time to Resolve By Owner

Evaluates individual or team performance, highlighting strengths and areas for improvement, by providing average resolution times for incidents handled by specific individuals or teams.

Group 4.png

Top 10 Average Detect Time By Incident Type

Helps prioritize process improvements by focusing attention on incident types that take longer to detect once the related event has occurred.

Group 5.png

ROI Widgets

READER NOTE

ROI widgets are only available in the Reporting Dashboard module. See Displaying the ROI.

Displaying the ROI

  1. Navigate to the Reporting Dashboard module, then click the + New button.

    Group 39 (1).png
  2. Select a site and date range.

    Group 40.png
  3. Locate the Total Saved Money (USD) and Total Saved Hours widgets using the search bar.

    Group 41.png
  4. Drag the widgets onto the canvas.

    Group 42.png

READER NOTE

The widgets display accumulated totals, offering a consolidated view of overall time and cost savings across all command runs.

Total Saved Hours

Quantifies operational efficiency gains by calculating the time saved through automation (use of utility or integration commands), as defined in the ROI settings.

Group 6.png

Total Saved Money (USD)

Converts operational time savings into monetary terms, demonstrating the financial impact of automation by calculating savings based on the "Cost saved per command run (dollars)" configured in the ROI settings.

Group 7.png

Appendix

EventUTCTime

This is the timestamp indicating when the source system (e.g., Gmail, Splunk) initially created the event. In D3, this field is referred to by different names across the platform:

  • In the resulting table of a query dataset for widget creation, it is called Event Utc Time.

    att_5_for_425328715.png

READER NOTE *

Click on the att_1_for_425328715.png button to configure the table headers if Event UTC Time is not visible.

  • In the Investigation Dashboard > Events table, the same timestamp is referred to as Time of Occurrence (UTC).

    att_12_for_425328715.png

READER NOTE *

Click on the att_2_for_425328715.png button to configure the table headers if Time of Occurrence (UTC) is not visible.

  • Within the Event Details popup, the same timestamp is referred to as Start Time (UTC).

    att_7_for_425328715.png

READER NOTE *

To populate Start Time (UTC) with the original value from the source system, the Event Field Mapping must map the original event's JSON path value to D3's built-in system field Start Time. This can be found within the Event Field Mapping popover.

att_9_for_425328715.png

If the original source system does not provide the EventUTCTime field, the D3 system will default to using the IngestedUTCTime.

IngestedUTCTime

This is the UTC time at which D3 creates the event record. In D3, this field is referred to by different names across the platform:

  • In the resulting table of a query dataset for widget creation, it is called IngestedUTCTime.

    att_6_for_425328715.png
  • Within the Event Details popup, the same timestamp is referred to as Event Intake Time (UTC).

    Frame 6.png

ClosedUTCTime

This is the UTC time at which a D3 incident is closed.

  • In both the Incident Investigation dashboard and Incident Workspace (Overview), it is referred to as Date Closed.

    Frame 10.png


    Frame 8.png

CreatedUTCTime

This is the UTC time when a D3 incident is created.

  • In both the Incident Investigation dashboard and Incident Workspace (Overview), it is referred to as Date Created (UTC).

    Frame 11.png


    Frame 12.png